Multiplying binomial trinomials trinomial polynomials algebra drills Multiplying binomials and trinomials worksheet – kidsworksheetfun Polynomials worksheet algebra 1
Multiplying Two Binomials (All)
Binomials worksheet multiplying questions polynomials algebra multiply worksheets answer key binomial pdf math mathwarehouse scaffolded choose board Multiply binomials worksheet Multiplying binomials worksheet math aids
Multiplying polynomials worksheet answers
Multiplying binomials worksheet foil practice worksheet – askworksheetIroquois algebra blog: multiplying binomials hw answer key Multiplying binomials polynomials algebra circuit training trinomialsMultiplying binomials and trinomials.
Multiplying binomials and trinomials worksheet answers – thekidsworksheetMultiplying binomials and trinomials worksheet – thekidsworksheet Multiplying binomials and trinomials worksheet answers – thekidsworksheetMultiplying polynomials worksheets answers.

Multiplying polynomials activity coloring binomials trinomials worksheet answers foil activities color
Multiplying two binomials (all)Multiplying binomials and trinomials worksheet Multiplying binomials and trinomials worksheetBinomials multiplying worksheets.
Multiply binomials worksheetMultiplying binomials worksheet – kidsworksheetfun Multiplying binomials and trinomials worksheet answers – thekidsworksheetMultiplying binomials worksheet (pdf) and answer key. 29 scaffolded.

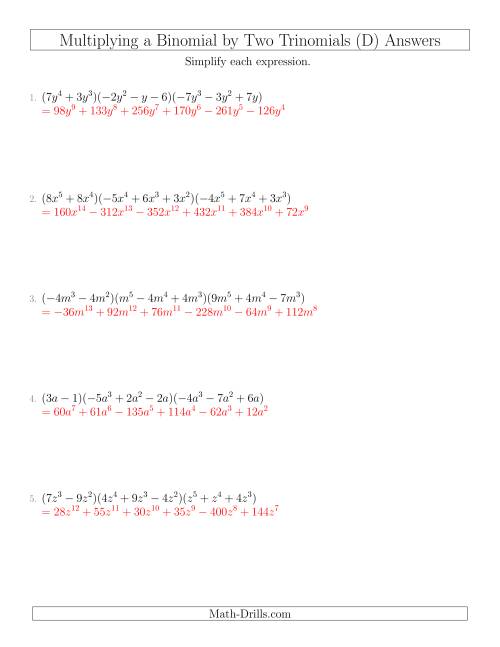
Multiplying a binomial by two trinomials (d)
Multiplying binomials and trinomials worksheet13 dividing polynomials worksheet with work / worksheeto.com Multiplying polynomials polynomial monomial multiply distributive definition mashupMultiplying binomials worksheets by blue mountain math.
Worksheet on application problems on expansion of powers of binomialsMultiplying binomials two binomial correction unrestricted ardl polynomials drills trinomial algebra Multiplying polynomials trinomials worksheet carimbo multiply binomials linha economica trodat algebra multiplicationMultiply the polynomials worksheet answers.

35 multiplying a binomial by a trinomial worksheet answers
Method box multiplying binomials worksheet answers trinomials classroom fun polynomials preview31 multiplying a polynomial by a monomial worksheet answers Multiplying binomials worksheet with answersFactoring trinomials worksheet answers.
Factoring binomials worksheetsMultiplying polynomials worksheets Binomial trinomial multiplyingMultiply binomials worksheet.

Multiplying polynomials worksheet 1 answers
Polynomials worksheet multiplying kuta software factoring trinomials answers algebra worksheets infinite answer key adding math equations shade search quadratic worksheetoMultiplying binomials and trinomials worksheet – kidsworksheetfun 13 multiplying binomials worksheet / worksheeto.comWorksheet multiplying binomials trinomials polynomials monomial answers algebra missing.
.


Multiplying a Binomial by Two Trinomials (D)

Multiplying Binomials And Trinomials Worksheet Answers – Thekidsworksheet

Multiply Binomials Worksheet - Printable Word Searches

Multiplying Two Binomials (All)

Multiplying Binomials And Trinomials Worksheet – Kidsworksheetfun

Multiplying Binomials Worksheet With Answers

Multiplying Binomials Worksheets by Blue Mountain Math | TpT